English
全部
搜索
图片
视频
短视频
地图
资讯
更多
购物
航班
旅游
笔记本
报告不当内容
请选择下列任一选项。
无关
低俗内容
成人
儿童性侵犯
时长
全部
短(小于 5 分钟)
中(5-20 分钟)
长(大于 20 分钟)
日期
全部
过去 24 小时
过去一周
过去一个月
去年
清晰度
全部
低于 360p
360p 或更高
480p 或更高
720p 或更高
1080p 或更高
源
全部
Dailymotion
Vimeo
Metacafe
Hulu
VEVO
Myspace
MTV
CBS
Fox
CNN
MSN
价格
全部
免费
付费
清除筛选条件
安全搜索:
中等
严格
中等(默认)
关闭
筛选器
0:19
Video di Selenide (@selenide75) con sonido original - ImJhona
已浏览 619 次
3 个月之前
TikTok
selenide75
Sodium selenide - Alchetron, The Free Social Encyclopedia
2016年1月22日
alchetron.com
The structure of the sodium selenide crystal may be describe
…
已浏览 5191 次
7 个月之前
askfilo.com
4:00
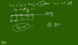
Lithium selenide can be described as a cubic closest-packed arr... | Filo
已浏览 5693 次
2022年9月25日
askfilo.com
软件测试进阶必看!深入理解Seleniue WebDriver+ SE WebDriver核心原
…
已浏览 1053 次
2021年9月16日
bilibili
德语可乐学姐
2:05
Running Scripts on Selenoid Browser
已浏览 2 次
2 个月之前
YouTube
vlogize
4:02
Set Up Your First Automation Environment In 4 minutes #tutorial
已浏览 20 次
1 个月前
YouTube
PixEdward
2:25
Selenium vs Selenide - Full Comparison
已浏览 13 次
2 个月之前
YouTube
Lemme Fix This
0:15
Speed Up Your Java QA Automation (and Make it Fun!)
已浏览 92 次
1 个月前
YouTube
EdifyTech
0:54
Sage Goddess on Instagram: ""This is the BEST first stone." "If you wa
…
已浏览 6026 次
2 个月之前
Instagram
thesagegoddess
How to Write the Formula for Lithium selenide
已浏览 2691 次
2022年2月16日
YouTube
Wayne Breslyn (Dr. B.)
#1 Автоматизація з Selenide, ввідне заняття
已浏览 4855 次
2020年8月27日
YouTube
QA Club Lviv
14:37
Hướng dẫn sử dụng Selenium IDE để làm Automation
已浏览 1.5万 次
2023年4月1日
YouTube
Lê Vũ Nguyên Vlog
Why I switched to using Selenide for UI tests
已浏览 5904 次
2021年5月23日
YouTube
Sebastian Daschner
Lewis structure for H2Se - Dr K
已浏览 2737 次
2020年9月13日
YouTube
ChemSimplified
Page Object Model | Selenide Tutorial Series
已浏览 2861 次
2022年10月10日
YouTube
SDET Unicorns by Dilpreet Johal
#2 - Selenide - Launch Chrome/Firefox/Safari Browsers w
…
已浏览 1.2万 次
2021年10月22日
YouTube
Naveen AutomationLabs
Project and Test Setup | Selenide Tutorial Series
已浏览 6113 次
2022年6月27日
YouTube
SDET Unicorns by Dilpreet Johal
Create Screenshots (on-failure & on-demand) With Selenide During Te
…
已浏览 2221 次
2020年11月6日
YouTube
Philip Riecks
Synthesizing Cadmium selenide quantum dots
已浏览 273 次
2023年11月15日
YouTube
Mad Bioengineer
Upload file using Selenide | Selenide Tutorial Series
已浏览 2727 次
2022年9月12日
YouTube
SDET Unicorns by Dilpreet Johal
Алексей Виноградов — Selenide Брандашмыг — интерактивное п
…
已浏览 3111 次
2020年2月20日
YouTube
Heisenbug — конференция по тестированию
How to create your own Selenite link using Vercel!
已浏览 3452 次
2024年1月30日
YouTube
Selenite
Selenide101 – Getting up and running with real web tests (Alexe
…
已浏览 3265 次
2017年4月10日
YouTube
Selenium Camp
Selenite Energy Crystal Frequency | Selentine Chakra Healing Properties
已浏览 637 次
2023年8月22日
YouTube
SoundWaves Collective
11:06
Как написать UI тест за 10 минут
已浏览 3万 次
2014年9月22日
Vimeo
Selenide
How to write UI Test in 10 minutes
已浏览 4.8万 次
2014年9月30日
Vimeo
Selenide
13:52
SolidWorks Advanced Tutorial
已浏览 9.2万 次
2019年5月2日
YouTube
CAD CAM Tutorials
15:08
【乾颐堂】Selenium IDE web自动化技术 #明教教主亲授
已浏览 4321 次
2020年2月10日
bilibili
逆风微笑的代码狗
27:09
全网最细致!90分钟测试大佬带你从零开始认识selenium,快速入门轻
…
已浏览 6422 次
9 个月之前
bilibili
黄老师讲测试
观看更多视频
更多类似内容
反馈